Anomaliile de la Consiliul Județean Vaslui: angajatul cu cel mai mic salariu nu e șoferul, nici portarul și nici femeia de serviciu
PLAFONARE... Ordonanța lui Bolojan a lovit în toate salariile de la Consiliul Județean Vaslui, însă diminuările sunt aproape insesizabile pentru cei din conducerea instituției. Micșorările lovesc angajații cu salarii mici, pentru care fiecare sută de lei contează.
FIRFIREI LA CABINET… Consiliul Județean Vaslui și-a publicat grila de salarizare pe site-ul propriu, conform legii 153/2017, care prevede că la datele de 31 martie și 30 septembrie, toate consiliile județene din țară sunt obligate să facă publice aceste informații. Diferențele dintre documentul publicat în primăvară și cel postat zilele trecute sunt foarte mari, în sensul că foarte mulți angajați ai instituției au pierdut o parte din drepturi care le rotunjeau considerabil veniturile. Un caz concret este cel al secretarului general al județului care în luna martie a acestui an, pe lângă salariul de bază de 17.710 lei, mai încasa alți 1500 lei brut, ca spor de condiții periculoase și vătămătoare. În luna iulie, după ce Guvernul Bolojan a adoptat mult hulita ordonanță care plafonează acest spor, veniturile secretarului general al județului au scăzut cu aproape 1000 de lei. La fel s-a întâmplat și cu salariul președintelui Consiliului Județean Vaslui care s-a diminuat cu aproximativ 1.300 lei. Interesant este că cel mai mic salariu din Consiliul Județean Vaslui nu este nici al portarului, nici al șoferilor și nici măcar al femeii de serviciu, ci al unui consilier angajat la cabinetul unuia dintre vicepreședinți, care este încadrat ca referent și care are un salariu de bază de 4.370 lei, la care se mai adaugă celebrul spor de condiții vătămătoare și periculoase de 300 lei.
În lumina acestor noi și surprinzătoare informații, probabil mulți vă întrebați cât câștigă totuși un șofer al Consiliului Județean Vaslui. Ei bine, un astfel de angajat în regim contractual ridică lunar de la instituția condusă de Ciprian Trifan un salariu de bază de 5.302 lei pe care, până de curând, îl mai rotunjea cu alți 796 lei, spor de condiții periculoase. Un magaziner al Consiliului Județean Vaslui este încadrat cu un salariu de bază de 5.046 lei, la fel ca al unui muncitor calificat. Sus, în topul celor mai mari salarii, se află președintele Ciprian Trifan, cu un venit de 21.735 lei, la care se mai adaugă sporuri de 8.694 lei, pe când cei doi vicepreședinți încasează „doar” câte 19.320 lei și sporuri de 7.728 lei. Arhitectul șef al județului are un salariu de bază de 15.180 lei, plus sporuri de 2.277 lei, în timp ce directorii executivi sunt încadrați cu un salariu de 14.996 lei, la care se adaugă sporurile de condiții periculoase și drepturile pentru activitatea prestată în proiectele cu fondurile europene care însumează peste 6.500 lei. Potrivit aceluiași document, administratorul public al județului are un salariu de bază de 17.710 lei, plus sporul de condiții periculoase, de 300 lei.
Principalii pierzători, angajații care nu sunt implicați în proiecte cu fonduri europene
Comparând salariile aferente lunii martie cu cele ale lunii septembrie se poate observa un lucru cât se poate de clar: ordonanța dată de guvernul Bolojan în luna iulie, prin care s-a plafonat sporul pentru condiții periculoase sau vătămătoare la 300 de lei brut lunar, a făcut ceva economii la buget. Spunem asta pentru că până în luna iulie a acestui an, la Consiliul Județean Vaslui nu a fost angajat să nu aibă cel puțin 10% cotă procentuală din salariu de bază drept spor de condiții periculoase. Alții au fost ceva mai norocoși și beneficiau de salarii chiar și cu 15% mai mari doar datorită acestui spor. Este cazul, de exemplu, al consilierilor pe achiziții publice, care își mai adăugau la salariile de bază de 10.000 lei, alți 1.500 lei pentru spor de condiții periculoase și alți 2.000 lei pentru activitatea din proiectele derulate pe fonduri europene. După plafonare, salariile acestora au fost diminuate cu sume cuprinse între 1000 și 1200 lei, cel mai mult având de suferit angajații care nu sunt implicați în proiectele implementate cu bani europeni.
„Măsuri luate din necesitatea urmăririi unei politici fiscal-bugetare prudente”
Guvernul a aprobat, la sfârșitul lunii iunie, Ordonanța de Urgență pentru stabilirea unor măsuri privind personalul plătit din fonduri publice. Documentul prevede limitarea sporului acordat în sectorul public pentru activitatea în condiții periculoase sau vătămătoare la 300 lei brut lunar, corespunzător timpului lucrat la locul de muncă respectiv. De asemenea, concediul de odihnă suplimentar, acordat pentru prestarea de munci grele, periculoase sau vătămătoare, ori activitate în locuri de muncă în care există astfel de condiții, a fost stabilit la o durată cuprinsă între 3-5 zile lucrătoare. „Aceste măsuri au fost luate din necesitatea urmăririi unei politici fiscal-bugetare prudente, care să asigure sustenabilitatea fiscală pe termen mediu și lung, precum și pentru corectarea deficitului bugetar excesiv”, a transmis Guvernul. Până în luna iulie a acestui an, salariații primeau pentru condiții vătămătoare de muncă un spor de până la 15% din salariul de bază pentru toate categoriile de personal plătit din fonduri publice, dar nu mai mult de 1.500 de lei brut lunar. De asemenea, concediul suplimentar pentru muncă în condiții grele era între 3 si 10 zile lucrătoare. Măsurile au intrat în vigoare începând cu data de 1 iulie 2025 și se aplică până la data de 31 decembrie 2026.
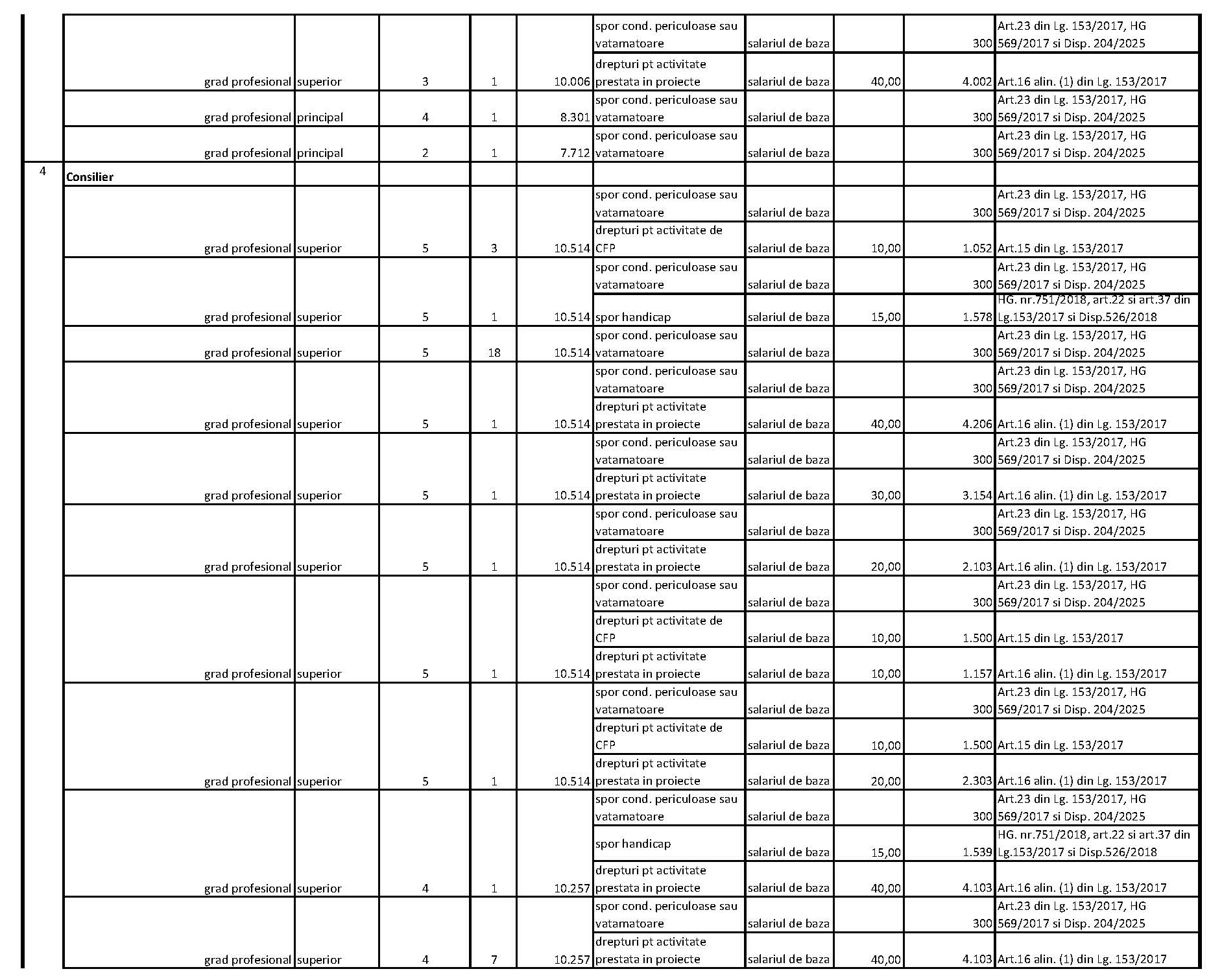
Lista funcțiilor din cadrul aparatului de specialitate al Consiliului Județean Vaslui și drepturile salariale aferente la data 30.09.2025 conform art. 33 alin. (1) din Legea – cadru nr. 153/2017 privind salarizarea personalului plătit din fonduri publice, cu modificările și completările ulterioare





Dacă nu le convine sa vina la Acuavas sau la drumuri unde angajații au salarii de 3100 de lei net pe luna si muncesc in condiții grele de munca si nu au nici un spor..ca banii merg la boșii de la județ.. cum sa crești doi copii cu salariul acesta..poate vor veni la putere un partid naționalist si să zboare toți PSD din consiliul județean..
Cele mai multe sporuri de handicap le au chiar șefii, cam ciudat
Pai la 30000 salariu cum sa ti se para mult sa dai pe metrul cub de apa 25 de lei sau chiar 40 de lei daca iei in calcul încărcarea facturii cu pierderi de cei de la Aquavas? Cum sa ti se para mult? Ca doar au votat cu 10 mâini prețul asta? Cum sa ti se para mult sa plătești taxa de parcare? Niște jigodii. Ăștia ne conduc gratie proștilor care I votează. A proștilor care cred ca daca se pun pavele si se fac sensuri giratorii le pasa ălora de sus de ei. Ne meritam soarta din păcate.
Corect. Nu mai poți să oprești să lași un bătrân în fața blocului, că ne da amenda primăria!! Pai cum mai fac bani la Bolt, daca nu mai avem voie să lăsăm pacienții la locație.
Cea mai mică leafă o are TAZU, dar nici școala nu i-a plăcut.
„Ei bine, un astfel de angajat în regim contractual ridică lunar de la instituția condusă de Ciprian Trifan un salariu de bază de 5.302 lei pe care, până de curând, îl mai rotunjea cu alți 796 lei, spor de condiții periculoase.”
Ati scris „ridica lunar”, dar apoi vorbiti de salariul de baza? Sa inteleg ca isi platesc singuri toate contributiile si nu le retine angajatorul nimic? S-o fi schimbat legea?
Eu nu cred ca sunteti nestiutori, ci din contra, scrieti asa ambiguu ca sa iritati acei cititorii care, din motive diverse, nu inteleg terminologia contabila. Apoi, nu inteleg de ce se tot plange lumea de CJ si primarii. Voi i-ai votat pe cei care taie si spanzura acolo, nu i-am pus eu acolo! Daca nu-i vota nimeni pe acesti neica-nimeni, nu erau acolo, simplu. La alegeri, discutati cu prietenii, cu vecinii, cu rudele si vedeti si voi ce voteaza si de ce, poate reusiti sa le schimbati opinia….
La scoala, la universitate, apoi la munca, nu l-a stat cu mana intinsa, imbecililor, daca vreti sa lucrati in administratie publica. invidiosilor!
La scoala, la universitate, apoi la munca, nu l-a stat cu mana intinsa, imbecililor, daca vreti sa lucrati in administratie publica. invidiosilor!
Vera, mai bine tăceai( sau nu scriai dracului!!)
Cat privește sfatul tău, știi cât de multe persoane si-au footut neuronii invatand la FEEA CUZA IASI( la ZI și la timpul ei), dar n-au reușit sa acceadă in sistem??? NU!!( nici n-ai avea cum, probabil cu o muiță tu ai rezolvat problema extrem de ușor!)
Erata: FEAA! de draci am dublat alta litera!!
Spor de conditii vatamatoare? Ce dreak? Se taie in hartii sau cad de pe scaun??? Fmm de PSD
Nici un fuctionar public, nu ar trebui sa treacă de 8000 de lei pe lună. Aici este buba. Nu i obliga nimeni sa lucreze la primării, la guvern, la stat. Nu va convine și credeti că meritați mai mult, mergeți la privat și luați 1 miliard pe lună, că nu ne deranjează. Cum sa dai 30000 lei pe lună, unui a , care lipea afișe pe stâlpi, chiar nu mai aveți discernământ.
La fel și la doctori, justitie, tot ce înseamnă aparat de stat.
Pai ce fel de doctor ești tu, când depui jurământul ăla infect, care e praf in ochii proștilor, când iei 50000 pe lună, iar pacientul tău, moare cu zile in spital!! Cum dracu poți să dormi, când știi că ești un impostor, unde îți este empatia fata de semeni?!? Banul , asta e toată grija lor, toți merg in funcții pentru ban, ii doare in cur de oraș, sat, oameni, banul….
În primul rând, nu există pădure fără uscături! Dar…”inteligentule anonim”, vrei servicii de calitate? Dacă răspunzi afirmativ, gândește-te ce salarii ar trebui să dai…
are dreptate Bolojan….multi paducki in structuri care nu fac nimic si au sume colosale…De ce?Bolojane ta ta, taie tare.Sunt multe sugative inutile
Mda…….!!! Deci Ciprian Trifan are salariu de 300 MILIOANE LEI PE LUNA?????Ma duc sa ma spânzur! Am învățat degeaba 18 ani! Sunt o proasta! Ghinion!!!
Pai ești fiica sau macar ora de securist?
De ce trebuie sa primeasca angajatii CJ spor pentru lucru cu fonduri europene? Lucreaza in afara orelor de program pentru acesti bani ca la sfarsitul programului nu mai vezi unul prin birouri?
Lucrează în pauza de masa care se scade din 8 ore
la scoala, la facultate si la munca, imbecililor, daca vreti sa lucrati in administratia publica.
Câtă școală și tu ,,mimoza pudica”de ești așa de vehementă, ce școli înalte ai absolvit, ce munci prestezi prin CJ oare, nu vă e rușine, sunteți o armata care taie frunză la câini, iaca ghinion a venit toamna, frunze nu mai sunt, poate plecați la odihnă că-ți fi extenuați dragii de voi.
De asta ai făcut școala fa rufo, sa sugi banul public😡😡
Rușine să vă fie ! Luați salarii mari din banii publici .
Ce fac pensionarii ? Sunt unii care iau doar 5% din salariul d -ui CIPRIAN TRIFAN .